1

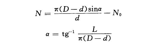
例如:D等于50.3mm,d等于3.95mm,L等于717mm,N0等于29根,求大神計算下,如果EXCEL自動計算公式,萬分感謝!
2
sanguolian:
例如:D等于50.3mm,d等于3.95mm,L等于717mm,N0等于29根,求大神計算下,如果EXCEL自動計算公式,萬分感謝!
是問怎么編EXCEL公式?
3
sanguolian:liarzhang:
例如:D等于50.3mm,d等于3.95mm,L等于717mm,N0等于29根,求大神計算下,如果EXCEL自動計算公式,萬分感謝!
是問怎么編EXCEL公式?
是的,自己編輯了,但算的不對,求幫助
4
這樣不對嗎?